الانحراف المتوسط Mean Deviation MD
تعريفه الانحراف المتوسط ومزاياه وعيوبه
تعريفه
هو عبارة عن متوسط انحرافات قيم المجموعة عن وسطها الحسابي مع إهمال الإشارة وهو مقياس أكثر دقة ووضوح من المدى والانحراف الربيعي حيث يهتم بكل قيمة من قيم المجموعة .
مزاياه
أنه يأخذ كل القيم في الاعتبار.
عيوبه
أنه يتأثر بالقيم الشاذة
طرق حساب الانحراف المتوسط
حالة البيانات غير المبوبة
إذا كان هناك مجموعة من البيانات فإن الانحراف المتوسط (MD) يحسب بهذه المعادلة والتي تستخدم في حالة البيانات الغير مبوبة:

حيث xi هي قيمة المشاهدة و N عددها و x هي المتوسط الحسابي للمشاهدات
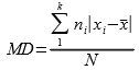
حالة البيانات المبوبة
في حالة البيانات المبوبة يتم حسابه بالطريقة التالية:

حيث أن ni هي تكرار الفئة و X هو مركز الفئة و Ẋ هو المتوسط الحسابي، و N هو مجموع التكرارات.






