انواع مقاييس النزعة المركزية
هناك عدة مقاييس للتعبير عن هده الظاهرة تختلف من خلال الدقة و المدلول الإحصائي و نذكر منها:
1 المتوسط الحسابي
2 المنوال
3 الوسيط
المتوسط الحسابي
يعتبر من اهم وأشهر مقاييس النزعة المركزية واكثرها شيوعا واستخداما المتوسط الحسابي لمجموعة من قيم البيانات هو عبارة عن حاصل قسمة مجموع هده القيم على عددها
المتوسط الحسابي من التوزيع التكراري
حالة متغير كمي منفصل
ادا كانت لدينا بيانات مبوبة او مكررة أي تكون مرتبة في شكل جدول توزيع تكراري وكان المتغير الإحصائي المدروس متغير كمي منفصل فان المتوسط الحسابي يكون حسب العلاقة التالية

و يمكن ان يحسب المتوسط الحسابي باستخدام التكرار النسبي و دلك حسب العلاقة التالية
مثال :
التوزيع التالي لـ20 اسرة حسب عدد اطفالها
عدد الأطفال | عدد الاسر |
|---|---|
2 | 7 |
3 | 4 |
4 | 6 |
5 | 3 |
Σ | 20 |
حسب المتوسط الحسابي باستخدام التكرار المطلق
احسب المتوسط الحسابي باستخدام التكرار النسبي
الحل:

حساب المتوسط الحسابي باستخدام التكرار المطلق

احسب المتوسط الحسابي باستخدام التكرار النسبي
في حالة متغير كمي متصل
إدا كان لدينا متغير كمي متصل فان قيم هدا المتغير تكون في جدول التوزيع التكراري في شكل فئات فادا كانت
C1 , c2 , c3...............................ck
مراكز هده الفئات فان المتوسط الحسابي يحسب بالعلاقة التالية

أما ادا استخدمنا التكرار النسبي فيكون المتوسط الحسابي حسب العلاقة التالية
مثال :
فيما يلي التوزيع التكراري لكمية الالبان المنتجة لـ50 بقرة في اليوم الواحد
xi | ni |
|---|---|
0-4 | 3 |
4-8 | 15 |
8-12 | 20 |
12-16 | 10 |
16-20 | 2 |
Σ | 50 |
احسب المتوسط الحسابي باستخدام التكرار المطلق.
احسب المتوسط الحسابي باستخدام التكرار المطلق.
حل المثال:
xi | ni | Ci | fi | Cini | Cifi |
|---|---|---|---|---|---|
0-4 | 3 | 2 | 0.06 | 6 | 0.12 |
4-8 | 15 | 6 | 0.3 | 90 | 1.8 |
8-12 | 20 | 10 | 0.4 | 200 | 0.4 |
12-16 | 10 | 14 | 0.2 | 140 | 2.8 |
16-20 | 2 | 18 | 0.04 | 36 | 0.72 |
Σ | 50 | - | 1 | 472 | 9,44 |
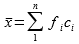
حساب المتوسط الحسابي باستخدام التكرار المطلق

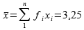
حساب المتوسط الحسابي باستخدام التكرار النسبي
يقدر متوسط الالبان المنتجة في اليوم الواحد من 50بقرة ب9,44 لتر
المنوال
يعبر المنوال عن القيمة الأكبر تكرارا او شيوعا من بين قيم المشاهدات 1:المنوال
قد يكون للبيانات في سلسلة احصاؤية او في توزيع تكراري منوال واحد او اكثر كما قد لا يكون لها منوال و يعتبر المنوال افضل مقياس لقياس البيانات النوعية يرمز له بالرمزMo
في حالة البيانات الأولية ( بيانات غير مبوبة)
هو قيمة او صفة المتغير الاحصائي الأكثر تكرارا في السلسلة الإحصائية
مثال :
اوجد قيمة المنوال في السلاسل الإحصائية التالية
السلسلة الأولى :12-11-05-10-12-03-13-8
السلسلة الثانية : ممتاز- ضعيف - جيد - متوسط - جيد جدا- متوسط - ضعيف جدا – متوسط
الحل:
منوال السلسلة الأولى هو القيمة 12
منوال السلسلة الثانية هي المشاهدة متوسط
في حالة توزيع تكراري ( بيانات مبوبة)
متغير كمي متصل
في حالة ما ادا كان المتغير الاحصائي المدروس كمي منفصل يستنتج المنوال مباشرة من جدول التوزيع التكراري , فهو القيمة الأكبر تكرار, يمكن ان نجد اكثر من منوال.
مثال :
بالاعتماد على معطيات المثال الأول اوجد قيمة المنوال
عدد الأطفال | عدد الاسر |
|---|---|
2 | 7 |
3 | 4 |
4 | 6 |
5 | 3 |
Σ | 20 |
من خلال الجدول رقم 4 نلاحظ ان اكبر تكرار هو 07 و بالتالي فان المنوال هو قيمة المتغير المقابلة لهدا هدا يعني ان اغلبية الاسر عدد اطفالها 02 التكرار أيM0=2
متغير كمي متصل
في حالة ما ادا كان المتغير الاحصائي المدروس كمي متصل وكانت فئات المتغير الاحصائي متساوية الطول نتبع الخطوات التالية من اجل تحديد قيمة المنوال
تحديد الفئة الموالية : و هي الفئة المقابلة لأكبر تكرار
حساب المنوال بالعلاقة التالية
حيث:
AMo: الحد الأدنى للفئة المنوالية
LMo: طول الفئة المنوالية
delta1: الفرق بين تكرار الفئة المنوالية و الفئة السابقة لها
delta2: الفرق بين تكرار الفئة المنوالية و الفئة اللاحقة لها
مثال :
بالاعتماد على معطيات المثال رقم 2 احسب المنوال
xi | ni |
|---|---|
0-4 | 3 |
4-8 | 15 |
8-12 | 20 |
12-16 | 10 |
16-20 | 2 |
Σ | 50 |
الحل:
أولا تحديد الفئة المنوالية وهي الفئة التي يقابلها أكبر تكرار وهي 8-12
ومنه قيمة المنوال وفق العلاقة التالية:
ومنه اغلبية الابقار في العينة المدروسة تنتج حوالي9,33لتر من الالبان يومي
الوسيط
هو قيمة المشاهدة التي يقع ترتيبها وسط المجموعة عند ترتيب القيم تصاعديا او تنازليا، فهي تلك القيمة التي تقسم المجتمع الاحصائي الى قسمين متساويين
يرمز له بالرمزMe.
في حالة توزيع تكراري (بيانات مبوبة)
متغير كمي منفصل
في حالة ما ادا كان المتغيرالاحصائي المدروس كمي منفصل . نحسب قيمة الوسيط بالعلاقة التالية : N/2
مثال :
بالاعتماد على معطيات المثال رقم 1 اوجد قيمة الوسيط
الجدول يمثل توزيع 20 اسرة حسب عدد اطفالها
عدد الأطفال | عدد الاسر | NÎ |
|---|---|---|
2 | 7 | 7 |
3 | 4 | 11 |
4 | 6 | 17 |
5 | 3 | 20 |
Σ | 20 | - |
الحل:
تحديد رتبة الوسيط:
من الجدول نحدد قيمة الوسيط و هي :N/2=10
ومنه Me=3
التفسير:
50%من الاسر عدد اطفالها اقل من 3
50%من الاسر عدد اطفالها اكثر من 3
متغير كمي متصل
في حالة ما ادا كان المتغير الاحصائي المدروس كمي متصل . نحسب قيمة الوسيط بالعلاقة التالية:

حيث:
AMe: الحد الأدنى الفئة الوسيطية
N: مجموع التكرارات
NÎMe-1: التكرار المتجمع الصاعد للفئة قبي الوسيطية
nMe: تكرار الفئة الوسيطية
LMe: طول الفئة الوسيطية
مثال :
بالاعتماد على معطيات المثال رقم 2 احسب الوسيط
xi | ni | NÎ |
|---|---|---|
0-4 | 3 | 3 |
4-8 | 15 | 18 |
8-12 | 20 | 38 |
12-16 | 10 | 48 |
16-20 | 2 | 50 |
Σ | 50 | - |
الحل:
الفئة الوسيطية هي 8-12
ومنه قيمة الوسيط بالعلاقة السابقة:
50% من الابقار تنتج اقل من 9,4 من الالبان في اليوم الواحد
الوسيط بيانيا
هو نقطة التقاطع بين المنحنى المتجمع الصاعد والنازل

الربيع
هي تلك القيمة التي تقسم المجتمع الاحصائي الى 4 اقسام متساوية وبالتالي كل قسم يمثل 25% من البيانات، Qi يرمز لها بالرمز
في حالة توزيع تكراري (بيانات مبوبة )
متغير كمي منفصل
في حالة ما ادا كان المتغير الاحصائي المدروس كمي منفصل . نحسب قيمة الربيع كما في المثال التالي
مثال :
بالاعتماد على معطيات المثال رقم 1 اوجد قيمة الربيع الأول و الثالث
الحل:
عدد الأطفال | عدد الاسر | NÎ |
|---|---|---|
2 | 7 | 7 |
3 | 4 | 11 |
4 | 6 | 17 |
5 | 3 | 20 |
Σ | 20 | - |
الربيع الأول: تحديد رتبته و هي Q1=2⇄ N/2 = 5
الربيع الثالث: تحديد رتبته و هي Q1=17⇄ 3N/4 = 5
متغير كمي متصل
في حالة ما ادا كان المتغير الاحصائي المدروس كمي متصل . نحسب قيمة الربيع بالعلاقة التالية:

AQi: الحد الأدنى للفئة الربيعية
N=∑ni عدد القيم
NÎ: التكرار المتجمع الصاعد للفئة قبل الفئة الربيعية
ni: التكرار المطلق للفئة الربيعية
l: طول الفئة الربيعية
مثال :
بالاعتماد على معطيات المثال رقم 2 احسب الربيع الأول والربيع الثالث
xi | ni | NÎ |
|---|---|---|
0-4 | 3 | 3 |
4-8 | 15 | 18 |
8-12 | 20 | 38 |
12-16 | 10 | 48 |
16-20 | 2 | 50 |
Σ | 50 | - |
الحل:
الربيع الأول:
تحديد الفئة الربيعة الأولى و هي الفئة التي تكرارها المتجمع الصاعد اكبر أو يساوي N/4
و منه الفئة الربيعية الأولى هي [4-8[
ومنه الربيع الاول

الربيع الثالث
تحديد الفئة الربيعة الثالثة و هي الفئة التي تكرارها المتجمع الصاعد اكبر او يساوي 3N/4
بنفس الطريقة نجد Q3






