تمرين 2
عند مراقبة الوصول إلى مقر العمل في إحدى المؤسسات تم الحصول على معلومات تتعلق ب 40 عامل بالمؤسسة حسب زمن تأخرهم، فكانت النتائج كما هي موضحة في الجدول التالي:
الفئات | [10-5[ | [15-10[ | [20-15[ | [25-20[ |
|---|---|---|---|---|
مراكز الفئات | 7.5 | 12.5 | 17.5 | 22.9 |
التكرار | 15 | 10 | 6 | 9 |
المطلوب:
1. حدد المجتمع الإحصائي، المتغير المدروس و نوعه.
2. احسب المتوسط الحسابي.
3. أحسب الانحراف المعياري.
الحل:
1. تحديد المجتمع الإحصائي، المتغير المدروس و نوعه.
المجتمع الإحصائي | المتغير المدروس | نوعه | طبيعته |
|---|---|---|---|
عمال المؤسسة | زمن التأخر | كمي | مستمر |
2. حساب المتوسط الحسابي:
الفئات | [10-5[ | [15-10[ | [20-15[ | [25-20[ |
|---|---|---|---|---|
مراكز الفئات | 7.5 | 12.5 | 17.5 | 22.9 |
التكرار | 15 | 10 | 6 | 9 |

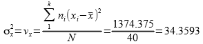
3. حساب الانحراف المعياري:

ومنه الانحراف المعياري






