تمرين 1
الجدول التالي يمثل توزيع 120 مؤسسة حسب مبيعاتها الشهرية ( الوحدة : مليون دج)
الفئات | 8-2 | 14-8 | 20-14 | 26-20 | 32-26 |
|---|---|---|---|---|---|
التكرار المطلق ni | 35 | 35 | 20 | 15 | 35 |
المطلوب:
حدد المجتمع الاحصائي , المتغير المدروس و نوعه
احسب التكرارات المطلقة الصاعدة و النازلة
حدد قيمة المتوسط الحسابي و المنوال
حدد قيمة الوسيط رياضيا
احسب الانحراف المتوسط للوسط الحسابي و الانحراف الربيعي
حل التمرين:
xi | ni | ci | NÎ | Nν | cini | ||
|---|---|---|---|---|---|---|---|
8-2 | 35 | 5 | 35 | 120 | 175 | 12 | 420 |
14-8 | 15 | 11 | 50 | 85 | 165 | 6 | 90 |
20-14 | 20 | 17 | 70 | 70 | 340 | ||
26-20 | 15 | 23 | 85 | 50 | 345 | 6 | 90 |
32-26 | 35 | 29 | 120 | 35 | 1015 | 12 | 420 |
Σ | 120 | 2040 | 1020 |
1- تحديد المجتمع الاحصائي، المتغير المدروس و نوعه
المجتمع الاحصائي | المتغير المدروس | نوعه |
|---|---|---|
المؤسسات | المبيعات الشهرية | كمي مستمر |
2- حساب التكرارات المطلقة الصاعدة والنازلة كما في الجدول السابق
3- حساب المتوسط الحسابي و المنوال:
حساب المتوسط الحسابي:

المنوال: من خلال البيانات يتبين لنا ان هناك منوالين
تحديد الفئة المنوالية: هي الفئة المقابلة لاكبر تكرار و هي
المنوال الأول ينتمي إلى الفئة 2-8
المنوال الثاني: الفئة المنوالية الثانية هي 26-32
بتطبيق العلاقة السابقة نجد:
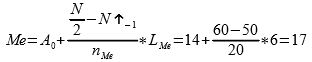
4- تحديد الوسيط رياضيا و بيانيا

تحديد قيمة الوسيط بيانيا

5- حساب الانحراف المتوسط للوسط الحسابي و الانحراف الربيعي
حساب الانحراف المتوسط للوسط الحسابي:

حساب الانحراف الربيعي
حساب الربيع الأول:
تحديد فئة الربيعية الأولى و هي الفئة التي تكرارها المتجمع الصاعد اكبر او يساوي N/4
و منه الفئة الربيعية الأولى هي 2-8

بنفس الطريقة نجد Q3=26,86
ومنه الانحراف الربيعي






