تمرين 3
يعبر التوزيع التالي عن مجموعة من الأفراد حسب سنهم ودلك كما يلي:
الأعمار | [20-0[ | [40-20[ | [50-40[ | [60-50[ | [75-60[ | [90-75[ |
عدد الأفراد | 505 | 600 | 268 | 221 | 332 | 187 |
المطلوب: حساب كل من
1. الوسيط.
2. المنوال.
3. الربيع الأول والثالث.
4. التباين.
5. معامل الاختلاف.
6. تحديد شكل التوزيع باستعمال مقاييس النزعة المركزية.
حل التمرين:
الأعمار | [20-0[ | [40-20[ | [50-40[ | [60-50[ | [75-60[ | [90-75[ |
عدد الأفراد | 505 | 600 | 268 | 221 | 332 | 187 |
مركز الفئة xi | 10 | 30 | 45 | 55 | 67.5 | 82.5 |
*ni | 25.25 | 30 | 26.8 | 22.1 | 22.13 | 12.46 |
NÎ | 505 | 1105 | 1373 | 1594 | 1926 | 2113 |
1. حساب الوسيط:
تحديد رتبة الوسيط Rg=N/2=2113/2=1056.5
ومنه الوسيط ينتمي للفئة [40-20[

حساب المنوال:
Mo=31.949
الربيع الأول:

Q1=20.775
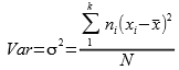
تحديد التباين:
حساب الوسيط:

40.2756=
ومنه فالتباين:







